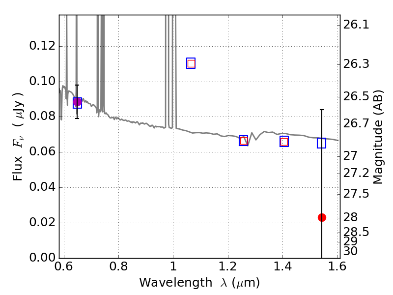
PLCKG209+10-PAR IR detection object #1093

Color images and BPZ results
Catalog: 1093.cat
Black segments are analyzed here.   Roll mouse over color images to view segments.
Best viewed in a wide browser window (1200 pixels or more).   Download SED & P(z) plots to view larger versions.
In P(z) plots: Yellow lines mark the cluster redshift z = 0.677,  

Object #1093   x,y = (3437, 2926)   RA, Dec = (07:22:02.976, 07:29:25.44) = (110.51240, 7.49040)   BPZ = 0.487 [0.141--3.862]   type = 11.00 (SB11_A_0_l)   stellarity = 0.36   chisq2 = 0.47   ODDS = 0.05   z_cluster = 0.677