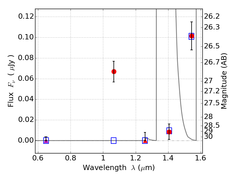
PLCKG209+10-PAR IR detection object #841

Color images and BPZ results
Catalog: 841.cat
Black segments are analyzed here.   Roll mouse over color images to view segments.
Best viewed in a wide browser window (1200 pixels or more).   Download SED & P(z) plots to view larger versions.
In P(z) plots: Yellow lines mark the cluster redshift z = 0.677,  

Object #841   x,y = (3046, 2286)   RA, Dec = (07:22:04.560, 07:28:47.28) = (110.51900, 7.47980)   BPZ = 11.949 [4.381--12.926]   type = 9.00 (SB2_B10)   stellarity = 0.60   chisq2 = 15.47   ODDS = 0.73   z_cluster = 0.677