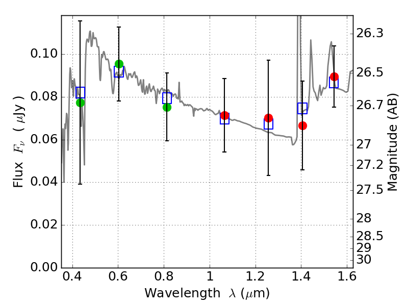
PLCKG171-40 IR detection object #771

Color images and BPZ results
Catalog: 771.cat
Black segments are analyzed here.   Roll mouse over color images to view segments.
Best viewed in a wide browser window (1200 pixels or more).   Download SED & P(z) plots to view larger versions.
In P(z) plots: Yellow lines mark the cluster redshift z = 0.270,  

Object #771   x,y = (3526, 1916)   RA, Dec = (03:12:52.944, 08:21:45.72) = (48.22060, 8.36270)   BPZ = 2.735 [0.320--3.413]   type = 10.40 (SB3_B10 - SB11_A_0_l)   stellarity = 0.36   chisq2 = 0.08   ODDS = 0.19   z_cluster = 0.270