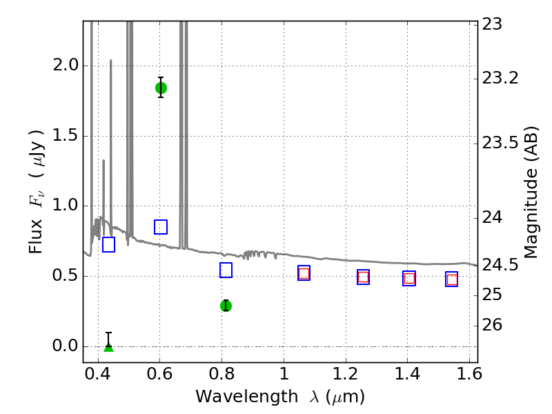
PLCKG171-40 ACS+IR detection object #4253

Color images and BPZ results
Catalog: 4253.cat
Black segments are analyzed here.   Roll mouse over color images to view segments.
Best viewed in a wide browser window (1200 pixels or more).   Download SED & P(z) plots to view larger versions.
In P(z) plots: Yellow lines mark the cluster redshift z = 0.270,  

Object #4253   x,y = (4191, 1643)   RA, Dec = (03:12:50.256, 08:21:29.16) = (48.20940, 8.35810)   BPZ = 0.017 [0.010--0.034]   type = 11.00 (SB11_A_0_l)   chisq2 = 171.60   ODDS = 1.00   z_cluster = 0.270