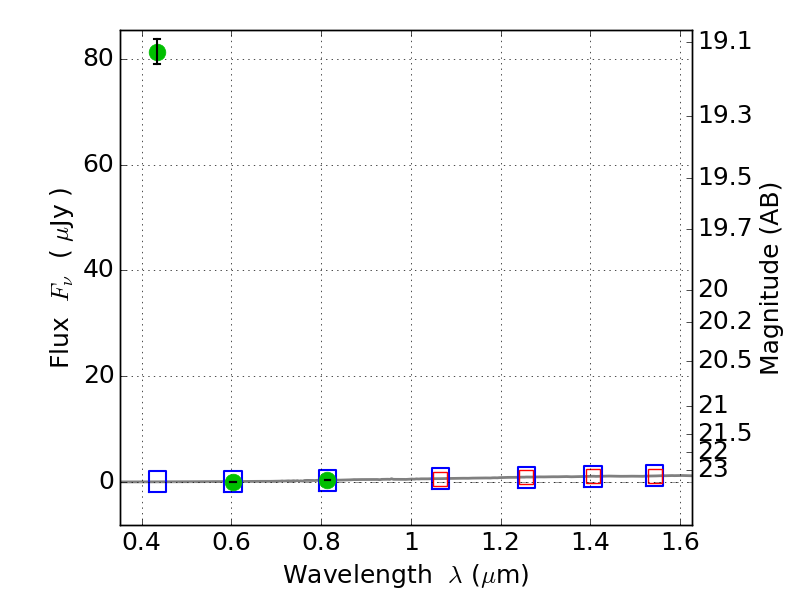
PLCKG171-40 ACS+IR detection object #3573

Color images and BPZ results
Catalog: 3573.cat
Black segments are analyzed here.   Roll mouse over color images to view segments.
Best viewed in a wide browser window (1200 pixels or more).   Download SED & P(z) plots to view larger versions.
In P(z) plots: Yellow lines mark the cluster redshift z = 0.270,  

Object #3573   x,y = (4207, 1782)   RA, Dec = (03:12:50.208, 08:21:37.80) = (48.20920, 8.36050)   BPZ = 0.912 [0.447--6.500]   type = 6.00 (Sbc_B10)   chisq2 = 1147.00   ODDS = 0.21   z_cluster = 0.270