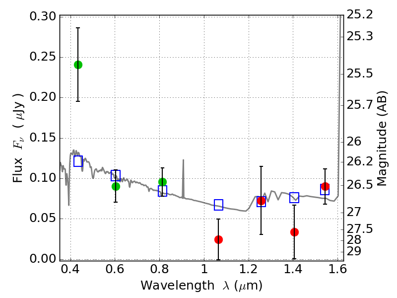
PLCKG171-40 ACS+IR detection object #3298

Color images and BPZ results
Catalog: 3298.cat
Black segments are analyzed here.   Roll mouse over color images to view segments.
Best viewed in a wide browser window (1200 pixels or more).   Download SED & P(z) plots to view larger versions.
In P(z) plots: Yellow lines mark the cluster redshift z = 0.270,  

Object #3298   x,y = (2994, 1973)   RA, Dec = (03:12:55.104, 08:21:49.32) = (48.22960, 8.36370)   BPZ = 2.242 [0.316--2.870]   type = 11.00 (SB11_A_0_l)   chisq2 = 2.89   ODDS = 0.32   z_cluster = 0.270