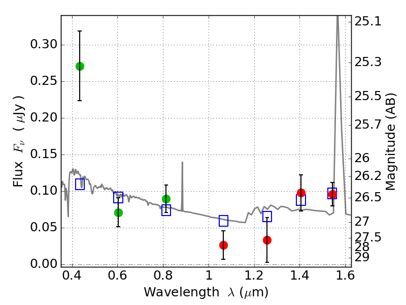
PLCKG171-40 ACS+IR detection object #2476

Color images and BPZ results
Catalog: 2476.cat
Black segments are analyzed here.   Roll mouse over color images to view segments.
Best viewed in a wide browser window (1200 pixels or more).   Download SED & P(z) plots to view larger versions.
In P(z) plots: Yellow lines mark the cluster redshift z = 0.270,  

Object #2476   x,y = (1630, 2667)   RA, Dec = (03:13:00.624, 08:22:30.72) = (48.25260, 8.37520)   BPZ = 2.164 [1.215--2.761]   type = 11.00 (SB11_A_0_l)   chisq2 = 4.09   ODDS = 0.42   z_cluster = 0.270