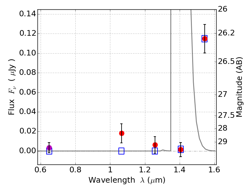
PLCKG171-40-PAR IR detection object #689

Color images and BPZ results
Catalog: 689.cat
Black segments are analyzed here.   Roll mouse over color images to view segments.
Best viewed in a wide browser window (1200 pixels or more).   Download SED & P(z) plots to view larger versions.
In P(z) plots: Yellow lines mark the cluster redshift z = 0.270,  

Object #689   x,y = (2238, 1920)   RA, Dec = (03:12:39.696, 08:25:44.40) = (48.16540, 8.42900)   BPZ = 12.252 [11.907--12.963]   type = 11.00 (SB11_A_0_l)   stellarity = 0.54   chisq2 = 1.29   ODDS = 0.83   z_cluster = 0.270