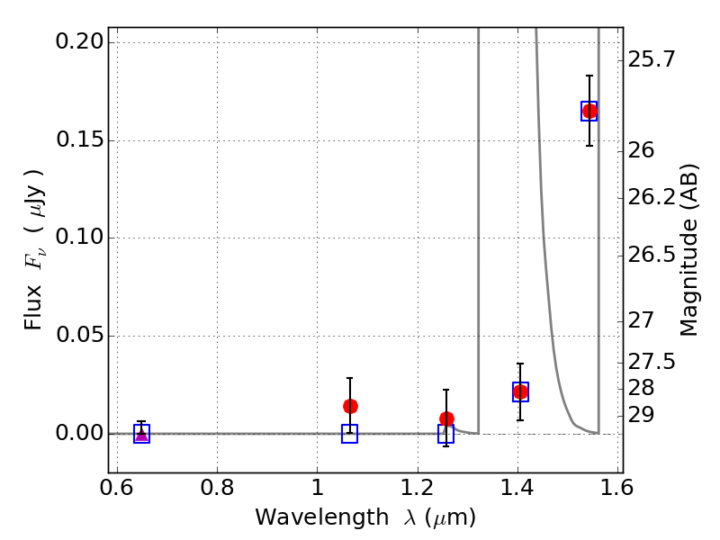
PLCKG171-40-PAR IR detection object #624

Color images and BPZ results
Catalog: 624.cat
Black segments are analyzed here.   Roll mouse over color images to view segments.
Best viewed in a wide browser window (1200 pixels or more).   Download SED & P(z) plots to view larger versions.
In P(z) plots: Yellow lines mark the cluster redshift z = 0.270,  

Object #624   x,y = (1468, 2081)   RA, Dec = (03:12:42.816, 08:25:54.12) = (48.17840, 8.43170)   BPZ = 11.891 [11.134--12.893]   type = 9.60 (SB3_B10 - SB2_B10)   stellarity = 0.76   chisq2 = 0.42   ODDS = 0.78   z_cluster = 0.270