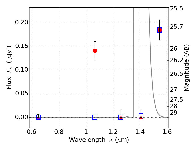
PLCKG171-40-PAR IR detection object #49

Color images and BPZ results
Catalog: 49.cat
Black segments are analyzed here.   Roll mouse over color images to view segments.
Best viewed in a wide browser window (1200 pixels or more).   Download SED & P(z) plots to view larger versions.
In P(z) plots: Yellow lines mark the cluster redshift z = 0.270,  

Object #49   x,y = (1990, 3615)   RA, Dec = (03:12:40.704, 08:27:26.28) = (48.16960, 8.45730)   BPZ = 12.251 [11.796--12.957]   type = 11.00 (SB11_A_0_l)   stellarity = 0.80   chisq2 = 18.54   ODDS = 0.84   z_cluster = 0.270