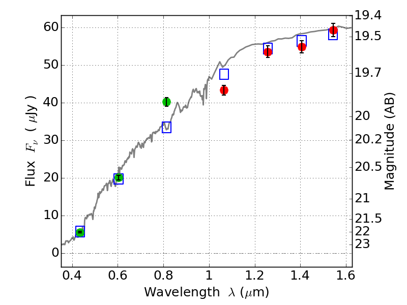
PLCKG138-10 IR detection object #1091

Color images and BPZ results
Catalog: 1091.cat
Black segments are analyzed here.   Roll mouse over color images to view segments.
Best viewed in a wide browser window (1200 pixels or more).   Download SED & P(z) plots to view larger versions.
In P(z) plots: Yellow lines mark the cluster redshift z = 0.702,  

Object #1091   x,y = (2081, 1633)   RA, Dec = (02:27:08.760, 48:59:37.32) = (36.78650, 48.99370)   BPZ = 0.140 [0.103--0.161]   type = 4.00 (Ell4_A_0)   chisq2 = 1.04   ODDS = 0.99   z_cluster = 0.702