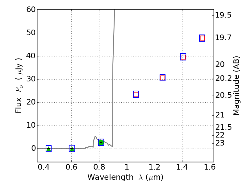
PLCKG138-10 ACS+IR detection object #4783
Color images and BPZ results
Catalog: 4783.cat
Black segments are analyzed here. Roll mouse over color images to view segments.
Best viewed in a wide browser window (1200 pixels or more). Download SED & P(z) plots to view larger versions.
In P(z) plots: Yellow lines mark the cluster redshift z = 0.702,
Object #4783 x,y = (934, 1647) RA, Dec = (02:27:15.744, 48:59:38.40) = (36.81560, 48.99400) BPZ = 6.385 [6.008--8.417] type = 6.00 (Sbc_B10) chisq2 = 0.00 ODDS = 0.49 z_cluster = 0.702