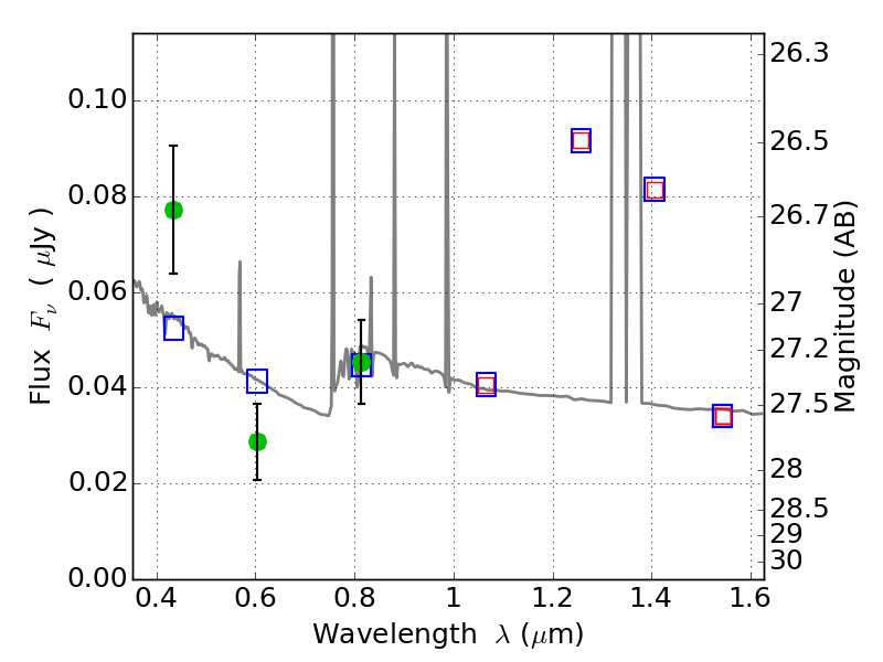
PLCKG138-10 ACS+IR detection object #4779

Color images and BPZ results
Catalog: 4779.cat
Black segments are analyzed here.   Roll mouse over color images to view segments.
Best viewed in a wide browser window (1200 pixels or more).   Download SED & P(z) plots to view larger versions.
In P(z) plots: Yellow lines mark the cluster redshift z = 0.702,  

Object #4779   x,y = (3310, 1647)   RA, Dec = (02:27:01.272, 48:59:38.40) = (36.75530, 48.99400)   BPZ = 1.030 [0.562--2.525]   type = 11.00 (SB11_A_0_l)   chisq2 = 4.43   ODDS = 0.16   z_cluster = 0.702