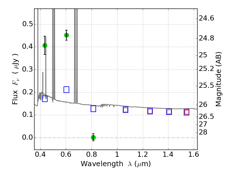
PLCKG138-10 ACS+IR detection object #4758

Color images and BPZ results
Catalog: 4758.cat
Black segments are analyzed here.   Roll mouse over color images to view segments.
Best viewed in a wide browser window (1200 pixels or more).   Download SED & P(z) plots to view larger versions.
In P(z) plots: Yellow lines mark the cluster redshift z = 0.702,  

Object #4758   x,y = (4522, 1653)   RA, Dec = (02:26:53.880, 48:59:38.76) = (36.72450, 48.99410)   BPZ = 0.018 [0.010--0.036]   type = 11.00 (SB11_A_0_l)   chisq2 = 186.70   ODDS = 1.00   z_cluster = 0.702