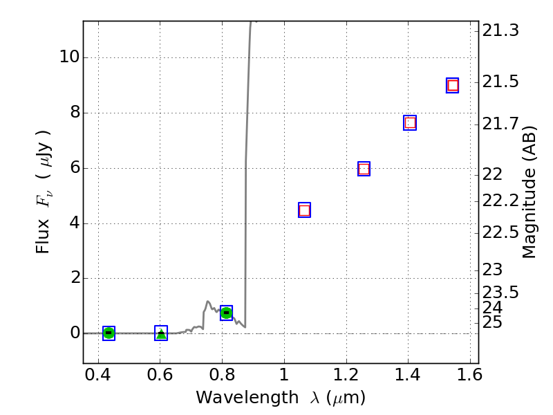
PLCKG138-10 ACS+IR detection object #3160
Color images and BPZ results
Catalog: 3160.cat
Black segments are analyzed here. Roll mouse over color images to view segments.
Best viewed in a wide browser window (1200 pixels or more). Download SED & P(z) plots to view larger versions.
In P(z) plots: Yellow lines mark the cluster redshift z = 0.702,
Object #3160 x,y = (4313, 2620) RA, Dec = (02:26:55.152, 49:00:36.72) = (36.72980, 49.01020) BPZ = 6.214 [5.796--8.827] type = 6.00 (Sbc_B10) chisq2 = 0.00 ODDS = 0.39 z_cluster = 0.702