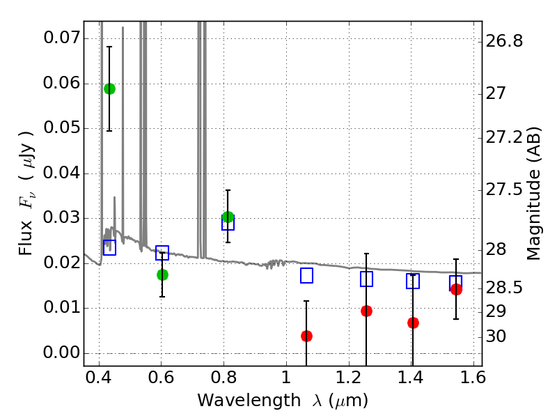
PLCKG138-10 ACS+IR detection object #1843

Color images and BPZ results
Catalog: 1843.cat
Black segments are analyzed here.   Roll mouse over color images to view segments.
Best viewed in a wide browser window (1200 pixels or more).   Download SED & P(z) plots to view larger versions.
In P(z) plots: Yellow lines mark the cluster redshift z = 0.702,  

Object #1843   x,y = (2462, 3228)   RA, Dec = (02:27:06.432, 49:01:13.08) = (36.77680, 49.02030)   BPZ = 0.105 [0.082--2.678]   type = 11.00 (SB11_A_0_l)   chisq2 = 2.64   ODDS = 0.27   z_cluster = 0.702