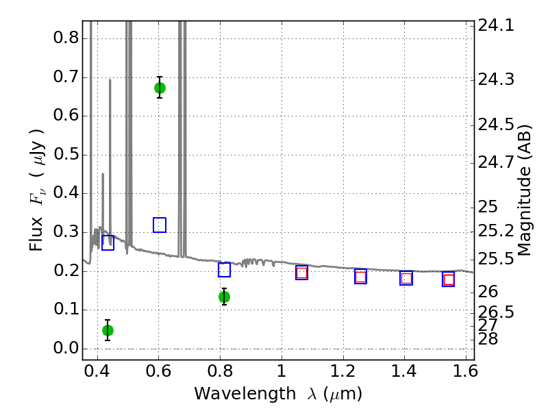
PLCKG004-19 ACS+IR detection object #826

Color images and BPZ results
Catalog: 826.cat
Black segments are analyzed here.   Roll mouse over color images to view segments.
Best viewed in a wide browser window (1200 pixels or more).   Download SED & P(z) plots to view larger versions.
In P(z) plots: Yellow lines mark the cluster redshift z = 0.540,  

Object #826   x,y = (318, 3384)   RA, Dec = (19:17:12.936, -33:30:02.52) = (289.30390, -33.50070)   BPZ = 0.017 [0.010--0.037]   type = 11.00 (SB11_A_0_l)   chisq2 = 156.50   ODDS = 1.00   z_cluster = 0.540