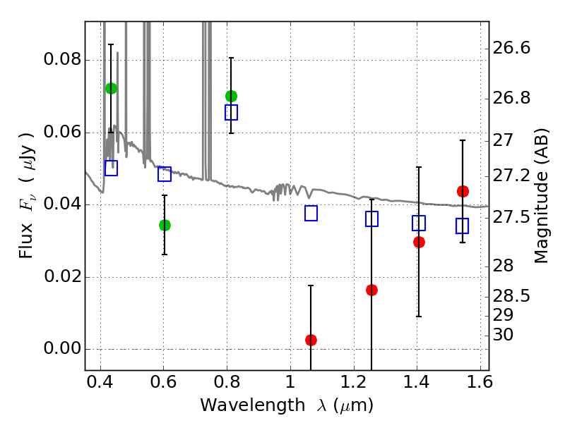
PLCKG004-19 ACS+IR detection object #3178

Color images and BPZ results
Catalog: 3178.cat
Black segments are analyzed here.   Roll mouse over color images to view segments.
Best viewed in a wide browser window (1200 pixels or more).   Download SED & P(z) plots to view larger versions.
In P(z) plots: Yellow lines mark the cluster redshift z = 0.540,  

Object #3178   x,y = (1082, 2493)   RA, Dec = (19:17:09.288, -33:30:56.16) = (289.28870, -33.51560)   BPZ = 0.113 [0.086--2.439]   type = 11.00 (SB11_A_0_l)   chisq2 = 1.79   ODDS = 0.40   z_cluster = 0.540