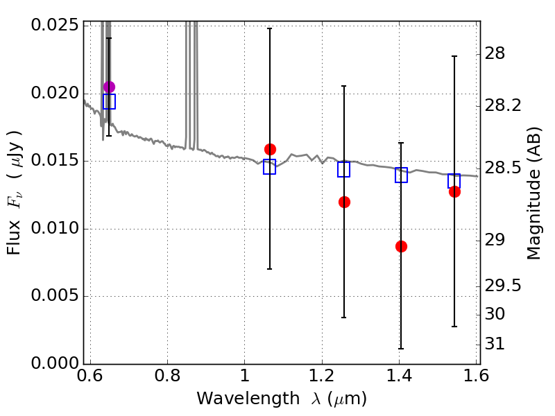
PLCKG004-19-PAR IR detection object #874

Color images and BPZ results
Catalog: 874.cat
Black segments are analyzed here.   Roll mouse over color images to view segments.
Best viewed in a wide browser window (1200 pixels or more).   Download SED & P(z) plots to view larger versions.
In P(z) plots: Yellow lines mark the cluster redshift z = 0.540,  

Object #874   x,y = (2523, 3463)   RA, Dec = (19:17:26.904, -33:34:23.16) = (289.36210, -33.57310)   BPZ = 0.305 [0.109--3.524]   type = 11.00 (SB11_A_0_l)   chisq2 = 0.32   ODDS = 0.05   z_cluster = 0.540