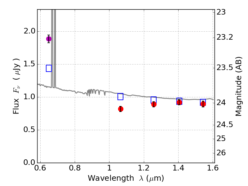
PLCKG004-19-PAR IR detection object #4954

Color images and BPZ results
Catalog: 4954.cat
Black segments are analyzed here.   Roll mouse over color images to view segments.
Best viewed in a wide browser window (1200 pixels or more).   Download SED & P(z) plots to view larger versions.
In P(z) plots: Yellow lines mark the cluster redshift z = 0.540,  

Object #4954   x,y = (2397, 1634)   RA, Dec = (19:17:27.504, -33:36:12.96) = (289.36460, -33.60360)   BPZ = 0.020 [0.011--2.451]   type = 11.00 (SB11_A_0_l)   chisq2 = 9.95   ODDS = 0.51   z_cluster = 0.540