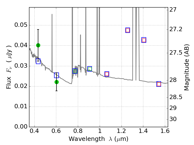
MS1008-12 ACS+IR detection object #13252

Color images and BPZ results
Catalog: 13252.cat
Black segments are analyzed here.   Roll mouse over color images to view segments.
Best viewed in a wide browser window (1200 pixels or more).   Download SED & P(z) plots to view larger versions.
In P(z) plots: Yellow lines mark the cluster redshift z = 0.306,  

Object #13252   x,y = (4521, 6636)   RA, Dec = (10:10:35.208, -12:38:08.88) = (152.64670, -12.63580)   BPZ = 1.006 [0.565--8.727]   type = 11.00 (SB11_A_0_l)   stellarity = 0.01   chisq2 = 1.21   ODDS = 0.09   z_cluster = 0.306