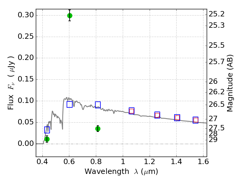
MACS0553-33 ACS+IR detection object #5010

Color images and BPZ results
Catalog: 5010.cat
Black segments are analyzed here.   Roll mouse over color images to view segments.
Best viewed in a wide browser window (1200 pixels or more).   Download SED & P(z) plots to view larger versions.
In P(z) plots: Yellow lines mark the cluster redshift z = 0.430,  

Object #5010   x,y = (3414, 1006)   RA, Dec = (05:53:19.464, -33:44:11.76) = (88.33110, -33.73660)   BPZ = 3.540 [3.344--3.643]   type = 11.00 (SB11_A_0_l)   stellarity = 0.97   chisq2 = 259.40   ODDS = 0.97   z_cluster = 0.430