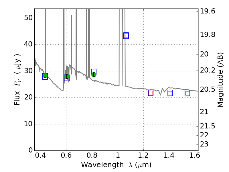
MACS0553-33 ACS+IR detection object #1574

Color images and BPZ results
Catalog: 1574.cat
Black segments are analyzed here.   Roll mouse over color images to view segments.
Best viewed in a wide browser window (1200 pixels or more).   Download SED & P(z) plots to view larger versions.
In P(z) plots: Yellow lines mark the cluster redshift z = 0.430,  

Object #1574   x,y = (4240, 2497)   RA, Dec = (05:53:15.504, -33:42:42.48) = (88.31460, -33.71180)   BPZ = 0.557 [0.083--0.722]   type = 11.00 (SB11_A_0_l)   stellarity = 0.67   chisq2 = 0.15   ODDS = 0.71   z_cluster = 0.430