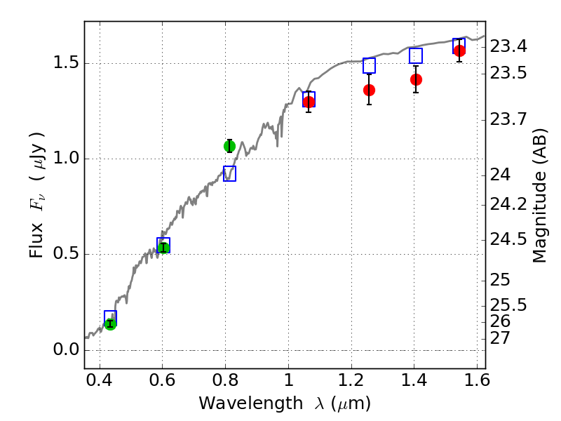
MACS0553-33 ACS+IR detection object #775

Color images and BPZ results
Catalog: 775.cat
Black segments are analyzed here.   Roll mouse over color images to view segments.
Best viewed in a wide browser window (1200 pixels or more).   Download SED & P(z) plots to view larger versions.
In P(z) plots: Yellow lines mark the cluster redshift z = 0.430,  

Object #775   x,y = (3222, 3663)   RA, Dec = (05:53:20.400, -33:41:32.28) = (88.33500, -33.69230)   BPZ = 0.129 [0.068--0.177]   type = 4.00 (Ell4_A_0)   stellarity = 0.00   chisq2 = 0.94   ODDS = 0.90   z_cluster = 0.430