MACS0553-33 ACS+IR detection object #4392

Color images and BPZ results
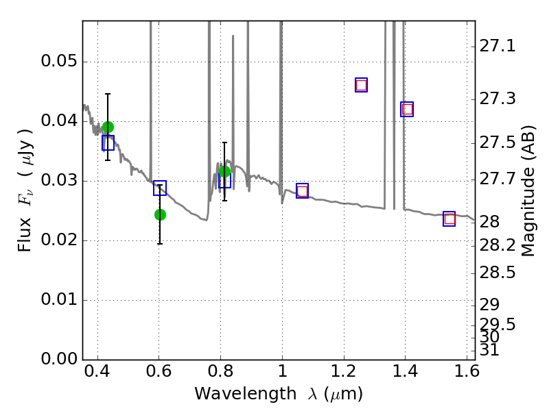
Catalog: 4392.cat
Black segments are analyzed here.   Roll mouse over color images to view segments.
Best viewed in a wide browser window (1200 pixels or more).   Download SED & P(z) plots to view larger versions.
In P(z) plots: Yellow lines mark the cluster redshift z = 0.430,  

Object #4392   x,y = (1285, 1541)   RA, Dec = (05:53:29.712, -33:43:39.72) = (88.37380, -33.72770)   BPZ = 1.052 [0.601--2.558]   type = 11.00 (SB11_A_0_l)   stellarity = 0.01   chisq2 = 0.81   ODDS = 0.13   z_cluster = 0.430