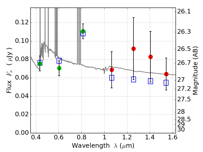
MACS0553-33 ACS+IR detection object #4149

Color images and BPZ results
Catalog: 4149.cat
Black segments are analyzed here.   Roll mouse over color images to view segments.
Best viewed in a wide browser window (1200 pixels or more).   Download SED & P(z) plots to view larger versions.
In P(z) plots: Yellow lines mark the cluster redshift z = 0.430,  

Object #4149   x,y = (2199, 1677)   RA, Dec = (05:53:25.320, -33:43:31.44) = (88.35550, -33.72540)   BPZ = 0.169 [0.096--0.926]   type = 11.00 (SB11_A_0_l)   stellarity = 0.00   chisq2 = 0.72   ODDS = 0.38   z_cluster = 0.430