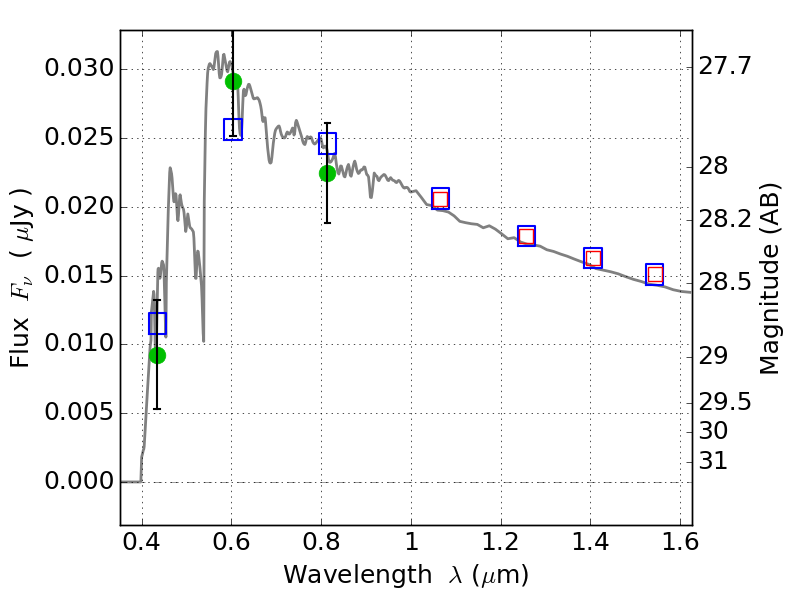
MACS0553-33 ACS+IR detection object #4021

Color images and BPZ results
Catalog: 4021.cat
Black segments are analyzed here.   Roll mouse over color images to view segments.
Best viewed in a wide browser window (1200 pixels or more).   Download SED & P(z) plots to view larger versions.
In P(z) plots: Yellow lines mark the cluster redshift z = 0.430,  

Object #4021   x,y = (3462, 1749)   RA, Dec = (05:53:19.248, -33:43:27.48) = (88.33020, -33.72430)   BPZ = 3.434 [0.234--3.714]   type = 11.00 (SB11_A_0_l)   stellarity = 0.02   chisq2 = 1.23   ODDS = 0.31   z_cluster = 0.430