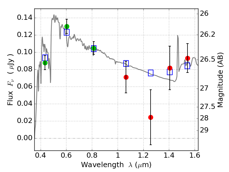
MACS0553-33 ACS+IR detection object #3952

Color images and BPZ results
Catalog: 3952.cat
Black segments are analyzed here.   Roll mouse over color images to view segments.
Best viewed in a wide browser window (1200 pixels or more).   Download SED & P(z) plots to view larger versions.
In P(z) plots: Yellow lines mark the cluster redshift z = 0.430,  

Object #3952   x,y = (2596, 1745)   RA, Dec = (05:53:23.400, -33:43:27.48) = (88.34750, -33.72430)   BPZ = 2.944 [2.740--3.190]   type = 10.80 (SB11_A_0_l - SB3_B10)   stellarity = 0.01   chisq2 = 0.97   ODDS = 0.82   z_cluster = 0.430