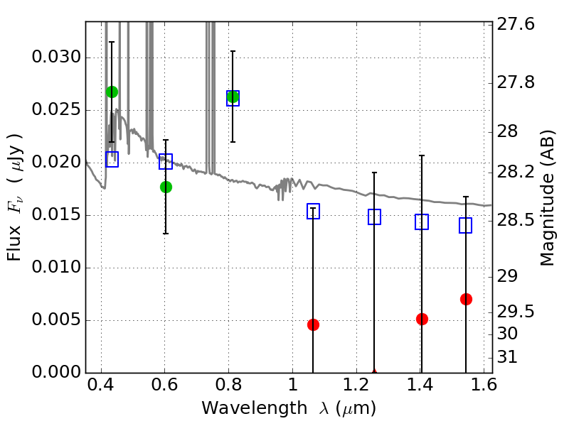
MACS0553-33 ACS+IR detection object #3862

Color images and BPZ results
Catalog: 3862.cat
Black segments are analyzed here.   Roll mouse over color images to view segments.
Best viewed in a wide browser window (1200 pixels or more).   Download SED & P(z) plots to view larger versions.
In P(z) plots: Yellow lines mark the cluster redshift z = 0.430,  

Object #3862   x,y = (1947, 1819)   RA, Dec = (05:53:26.520, -33:43:23.16) = (88.36050, -33.72310)   BPZ = 0.123 [0.089--2.898]   type = 11.00 (SB11_A_0_l)   stellarity = 0.09   chisq2 = 1.06   ODDS = 0.12   z_cluster = 0.430