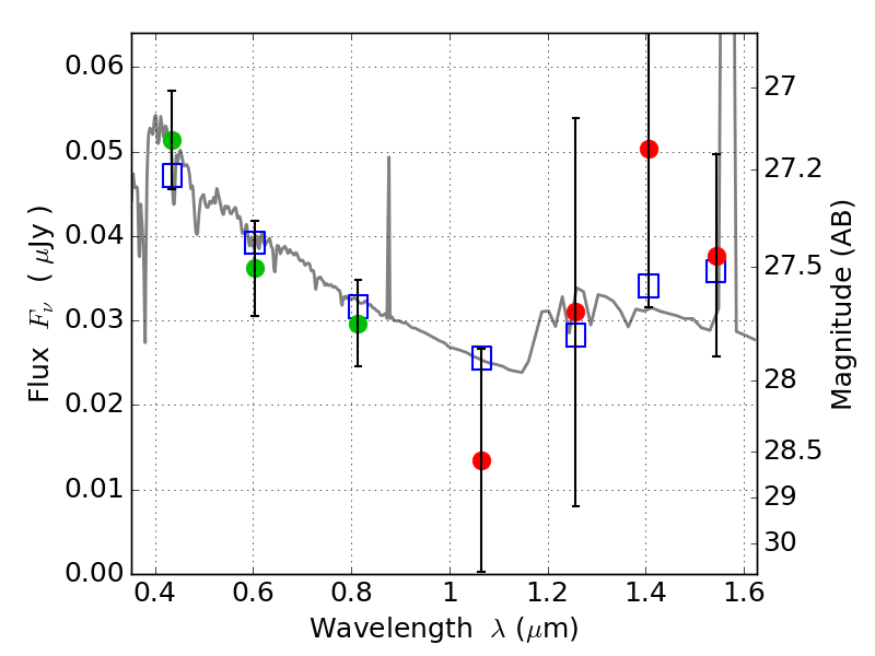
MACS0553-33 ACS+IR detection object #3486

Color images and BPZ results
Catalog: 3486.cat
Black segments are analyzed here.   Roll mouse over color images to view segments.
Best viewed in a wide browser window (1200 pixels or more).   Download SED & P(z) plots to view larger versions.
In P(z) plots: Yellow lines mark the cluster redshift z = 0.430,  

Object #3486   x,y = (2877, 1990)   RA, Dec = (05:53:22.056, -33:43:12.72) = (88.34190, -33.72020)   BPZ = 2.131 [1.226--2.549]   type = 11.00 (SB11_A_0_l)   stellarity = 0.00   chisq2 = 0.57   ODDS = 0.31   z_cluster = 0.430