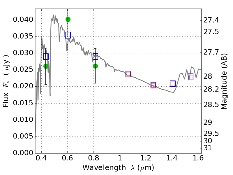
MACS0553-33 ACS+IR detection object #3423

Color images and BPZ results
Catalog: 3423.cat
Black segments are analyzed here.   Roll mouse over color images to view segments.
Best viewed in a wide browser window (1200 pixels or more).   Download SED & P(z) plots to view larger versions.
In P(z) plots: Yellow lines mark the cluster redshift z = 0.430,  

Object #3423   x,y = (918, 2014)   RA, Dec = (05:53:31.464, -33:43:11.28) = (88.38110, -33.71980)   BPZ = 2.854 [0.264--3.236]   type = 11.00 (SB11_A_0_l)   stellarity = 0.00   chisq2 = 1.16   ODDS = 0.23   z_cluster = 0.430