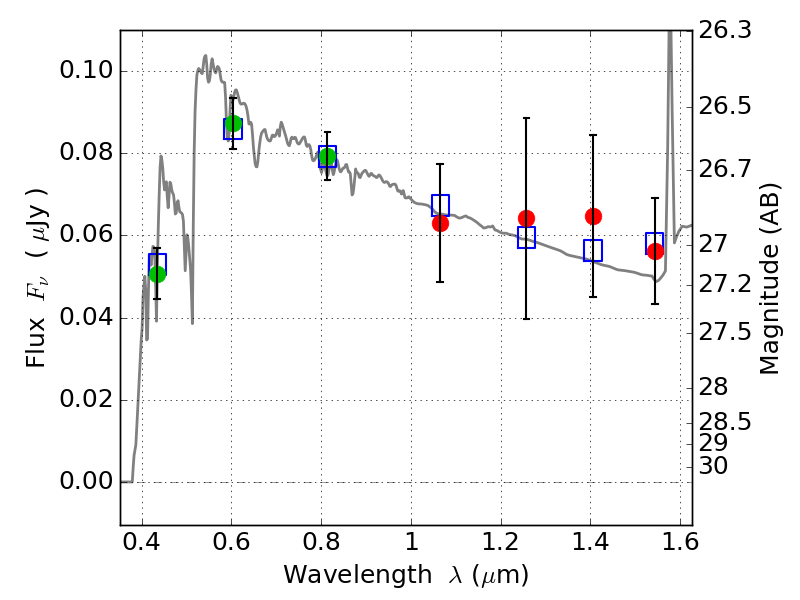
MACS0553-33 ACS+IR detection object #3417

Color images and BPZ results
Catalog: 3417.cat
Black segments are analyzed here.   Roll mouse over color images to view segments.
Best viewed in a wide browser window (1200 pixels or more).   Download SED & P(z) plots to view larger versions.
In P(z) plots: Yellow lines mark the cluster redshift z = 0.430,  

Object #3417   x,y = (3769, 2018)   RA, Dec = (05:53:17.760, -33:43:11.28) = (88.32400, -33.71980)   BPZ = 3.230 [0.291--3.398]   type = 10.70 (SB11_A_0_l - SB3_B10)   stellarity = 0.90   chisq2 = 0.10   ODDS = 0.68   z_cluster = 0.430