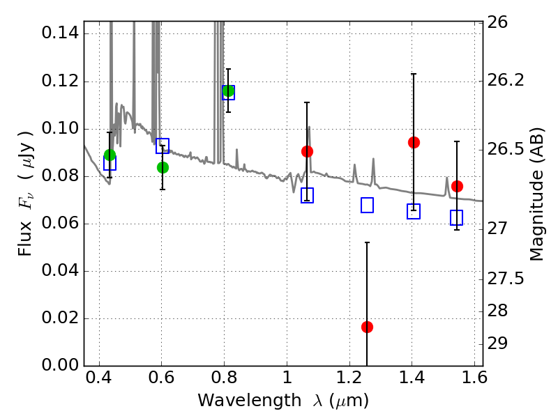
MACS0553-33 ACS+IR detection object #3126

Color images and BPZ results
Catalog: 3126.cat
Black segments are analyzed here.   Roll mouse over color images to view segments.
Best viewed in a wide browser window (1200 pixels or more).   Download SED & P(z) plots to view larger versions.
In P(z) plots: Yellow lines mark the cluster redshift z = 0.430,  

Object #3126   x,y = (3239, 2186)   RA, Dec = (05:53:20.304, -33:43:01.20) = (88.33460, -33.71700)   BPZ = 0.178 [0.093--0.914]   type = 10.90 (SB11_A_0_l - SB3_B10)   stellarity = 0.00   chisq2 = 1.19   ODDS = 0.28   z_cluster = 0.430