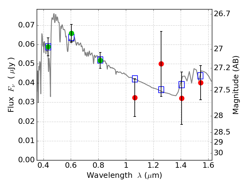
MACS0553-33 ACS+IR detection object #3076

Color images and BPZ results
Catalog: 3076.cat
Black segments are analyzed here.   Roll mouse over color images to view segments.
Best viewed in a wide browser window (1200 pixels or more).   Download SED & P(z) plots to view larger versions.
In P(z) plots: Yellow lines mark the cluster redshift z = 0.430,  

Object #3076   x,y = (2970, 2222)   RA, Dec = (05:53:21.600, -33:42:59.04) = (88.34000, -33.71640)   BPZ = 2.719 [0.050--2.921]   type = 11.00 (SB11_A_0_l)   stellarity = 0.70   chisq2 = 0.48   ODDS = 0.65   z_cluster = 0.430