MACS0553-33 ACS+IR detection object #2928

Color images and BPZ results
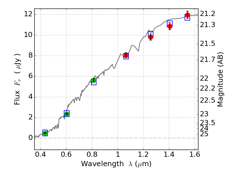
Catalog: 2928.cat
Black segments are analyzed here.   Roll mouse over color images to view segments.
Best viewed in a wide browser window (1200 pixels or more).   Download SED & P(z) plots to view larger versions.
In P(z) plots: Yellow lines mark the cluster redshift z = 0.430,  

Object #2928   x,y = (3140, 3201)   RA, Dec = (05:53:20.784, -33:42:00.36) = (88.33660, -33.70010)   BPZ = 0.360 [0.287--0.396]   type = 3.70 (Ell4_A_0 - Ell5_A_0)   stellarity = 0.03   chisq2 = 0.08   ODDS = 0.93   z_cluster = 0.430