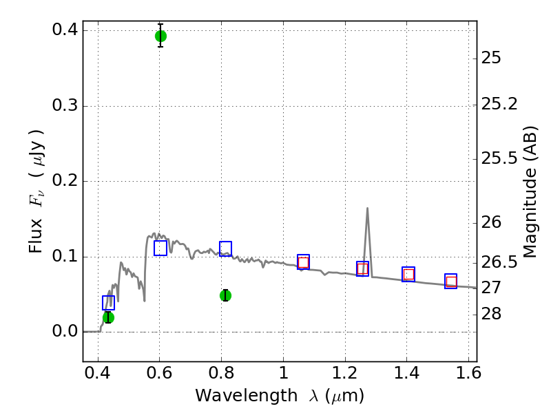
MACS0553-33 ACS+IR detection object #246

Color images and BPZ results
Catalog: 246.cat
Black segments are analyzed here.   Roll mouse over color images to view segments.
Best viewed in a wide browser window (1200 pixels or more).   Download SED & P(z) plots to view larger versions.
In P(z) plots: Yellow lines mark the cluster redshift z = 0.430,  

Object #246   x,y = (2080, 4155)   RA, Dec = (05:53:25.872, -33:41:02.76) = (88.35780, -33.68410)   BPZ = 3.546 [3.398--3.636]   type = 11.00 (SB11_A_0_l)   stellarity = 0.90   chisq2 = 329.66   ODDS = 0.99   z_cluster = 0.430