MACS0553-33 ACS+IR detection object #1816

Color images and BPZ results
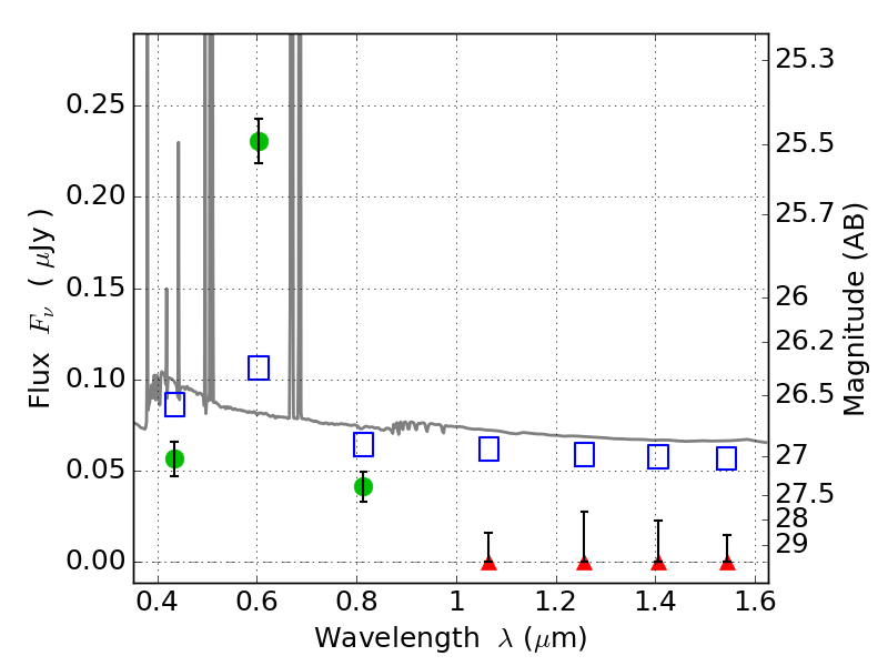
Catalog: 1816.cat
Black segments are analyzed here.   Roll mouse over color images to view segments.
Best viewed in a wide browser window (1200 pixels or more).   Download SED & P(z) plots to view larger versions.
In P(z) plots: Yellow lines mark the cluster redshift z = 0.430,  

Object #1816   x,y = (3563, 2883)   RA, Dec = (05:53:18.744, -33:42:19.08) = (88.32810, -33.70530)   BPZ = 0.018 [0.010--0.049]   type = 11.00 (SB11_A_0_l)   stellarity = 0.41   chisq2 = 31.47   ODDS = 1.00   z_cluster = 0.430