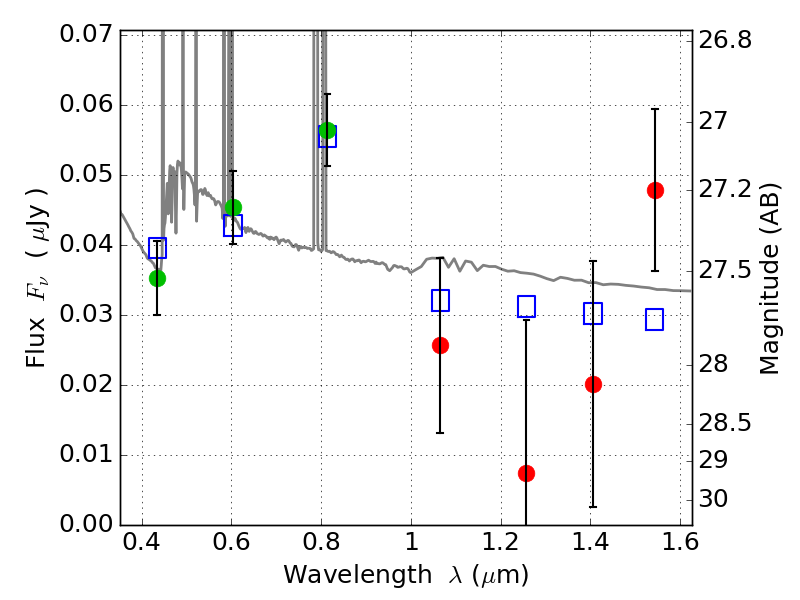
MACS0553-33 ACS+IR detection object #1453

Color images and BPZ results
Catalog: 1453.cat
Black segments are analyzed here.   Roll mouse over color images to view segments.
Best viewed in a wide browser window (1200 pixels or more).   Download SED & P(z) plots to view larger versions.
In P(z) plots: Yellow lines mark the cluster redshift z = 0.430,  

Object #1453   x,y = (2800, 3280)   RA, Dec = (05:53:22.416, -33:41:55.32) = (88.34340, -33.69870)   BPZ = 0.204 [0.102--3.274]   type = 11.00 (SB11_A_0_l)   stellarity = 0.00   chisq2 = 1.16   ODDS = 0.31   z_cluster = 0.430