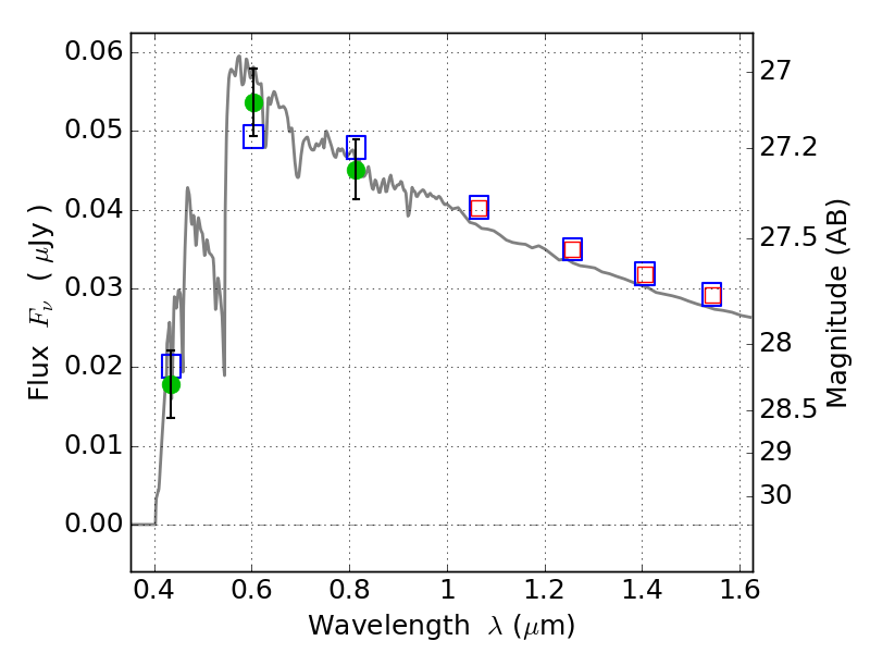
MACS0553-33 ACS+IR detection object #1209

Color images and BPZ results
Catalog: 1209.cat
Black segments are analyzed here.   Roll mouse over color images to view segments.
Best viewed in a wide browser window (1200 pixels or more).   Download SED & P(z) plots to view larger versions.
In P(z) plots: Yellow lines mark the cluster redshift z = 0.430,  

Object #1209   x,y = (3843, 3430)   RA, Dec = (05:53:17.400, -33:41:46.32) = (88.32250, -33.69620)   BPZ = 3.477 [1.586--3.656]   type = 11.00 (SB11_A_0_l)   stellarity = 0.93   chisq2 = 1.13   ODDS = 0.79   z_cluster = 0.430