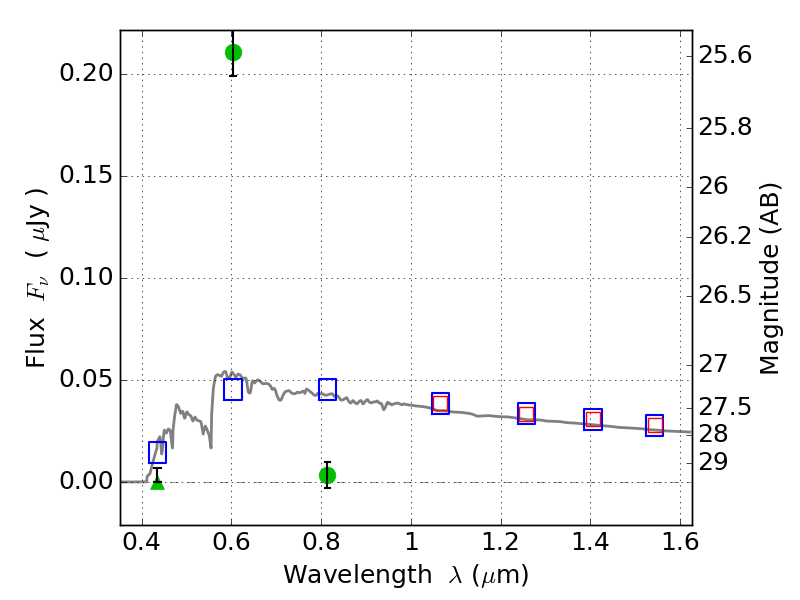
MACS0417-11 IR detection object #663

Color images and BPZ results
Catalog: 663.cat
Black segments are analyzed here.   Roll mouse over color images to view segments.
Best viewed in a wide browser window (1200 pixels or more).   Download SED & P(z) plots to view larger versions.
In P(z) plots: Yellow lines mark the cluster redshift z = 0.443,  

Object #663   x,y = (3926, 3859)   RA, Dec = (04:17:28.392, -11:53:17.88) = (64.36830, -11.88830)   BPZ = 3.574 [2.852--3.713]   type = 11.00 (SB11_A_0_l)   stellarity = 0.98   chisq2 = 212.90   ODDS = 0.77   z_cluster = 0.443