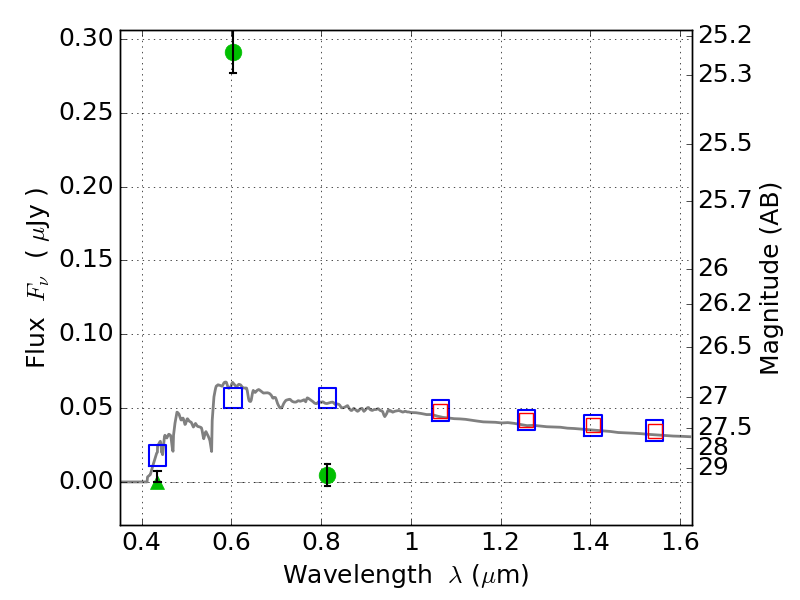
MACS0417-11 IR detection object #3976

Color images and BPZ results
Catalog: 3976.cat
Black segments are analyzed here.   Roll mouse over color images to view segments.
Best viewed in a wide browser window (1200 pixels or more).   Download SED & P(z) plots to view larger versions.
In P(z) plots: Yellow lines mark the cluster redshift z = 0.443,  

Object #3976   x,y = (2503, 1159)   RA, Dec = (04:17:34.200, -11:55:59.88) = (64.39250, -11.93330)   BPZ = 3.577 [2.968--3.701]   type = 11.00 (SB11_A_0_l)   stellarity = 0.98   chisq2 = 283.90   ODDS = 0.83   z_cluster = 0.443