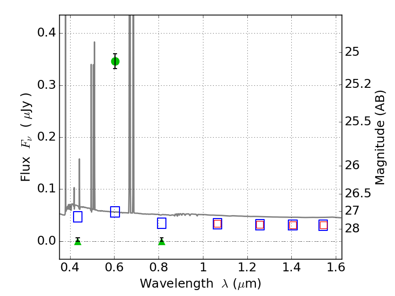
MACS0417-11 IR detection object #323

Color images and BPZ results
Catalog: 323.cat
Black segments are analyzed here.   Roll mouse over color images to view segments.
Best viewed in a wide browser window (1200 pixels or more).   Download SED & P(z) plots to view larger versions.
In P(z) plots: Yellow lines mark the cluster redshift z = 0.443,  

Object #323   x,y = (3789, 4237)   RA, Dec = (04:17:28.944, -11:52:55.20) = (64.37060, -11.88200)   BPZ = 0.019 [0.010--3.624]   type = 11.00 (SB11_A_0_l)   stellarity = 1.00   chisq2 = 440.80   ODDS = 0.73   z_cluster = 0.443