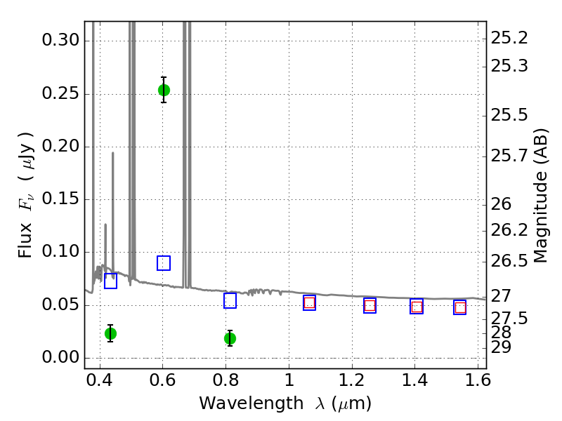
MACS0417-11 IR detection object #2927

Color images and BPZ results
Catalog: 2927.cat
Black segments are analyzed here.   Roll mouse over color images to view segments.
Best viewed in a wide browser window (1200 pixels or more).   Download SED & P(z) plots to view larger versions.
In P(z) plots: Yellow lines mark the cluster redshift z = 0.443,  

Object #2927   x,y = (1398, 2324)   RA, Dec = (04:17:38.712, -11:54:50.04) = (64.41130, -11.91390)   BPZ = 0.018 [0.010--0.045]   type = 11.00 (SB11_A_0_l)   stellarity = 0.99   chisq2 = 187.00   ODDS = 1.00   z_cluster = 0.443