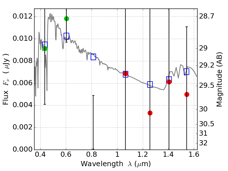
MACS0417-11 IR detection object #2914

Color images and BPZ results
Catalog: 2914.cat
Black segments are analyzed here.   Roll mouse over color images to view segments.
Best viewed in a wide browser window (1200 pixels or more).   Download SED & P(z) plots to view larger versions.
In P(z) plots: Yellow lines mark the cluster redshift z = 0.443,  

Object #2914   x,y = (3128, 2337)   RA, Dec = (04:17:31.656, -11:54:49.32) = (64.38190, -11.91370)   BPZ = 2.719 [0.213--3.503]   type = 11.00 (SB11_A_0_l)   stellarity = 0.36   chisq2 = 0.89   ODDS = 0.14   z_cluster = 0.443