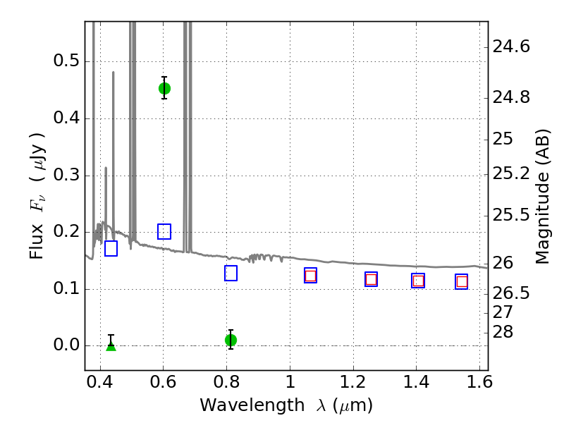
MACS0417-11 IR detection object #266

Color images and BPZ results
Catalog: 266.cat
Black segments are analyzed here.   Roll mouse over color images to view segments.
Best viewed in a wide browser window (1200 pixels or more).   Download SED & P(z) plots to view larger versions.
In P(z) plots: Yellow lines mark the cluster redshift z = 0.443,  

Object #266   x,y = (2367, 4086)   RA, Dec = (04:17:34.752, -11:53:04.20) = (64.39480, -11.88450)   BPZ = 0.017 [0.010--0.043]   type = 11.00 (SB11_A_0_l)   stellarity = 0.01   chisq2 = 203.40   ODDS = 0.99   z_cluster = 0.443