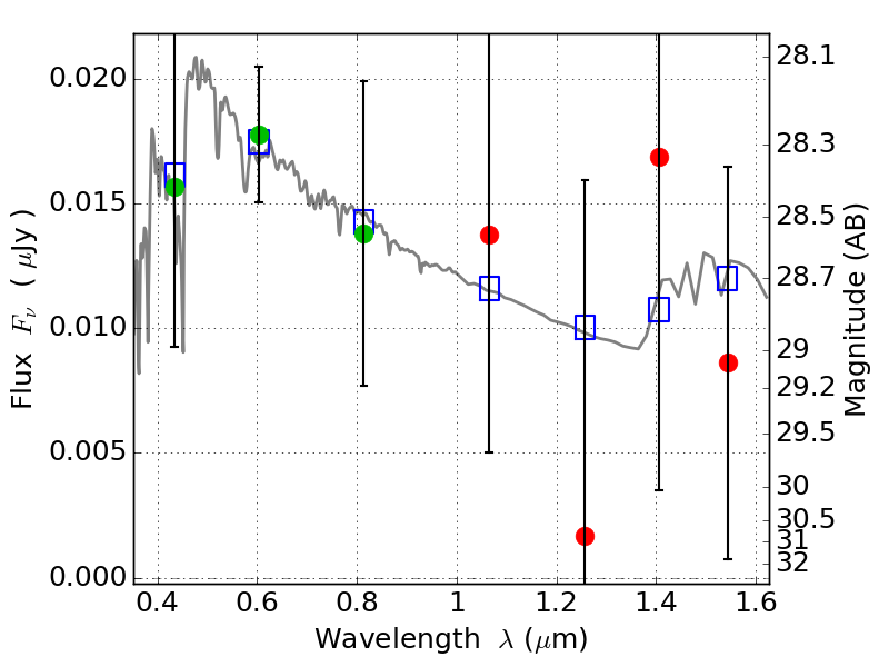
MACS0417-11 IR detection object #2071

Color images and BPZ results
Catalog: 2071.cat
Black segments are analyzed here.   Roll mouse over color images to view segments.
Best viewed in a wide browser window (1200 pixels or more).   Download SED & P(z) plots to view larger versions.
In P(z) plots: Yellow lines mark the cluster redshift z = 0.443,  

Object #2071   x,y = (2525, 2865)   RA, Dec = (04:17:34.104, -11:54:17.64) = (64.39210, -11.90490)   BPZ = 2.719 [0.144--3.478]   type = 11.00 (SB11_A_0_l)   stellarity = 0.47   chisq2 = 0.20   ODDS = 0.14   z_cluster = 0.443