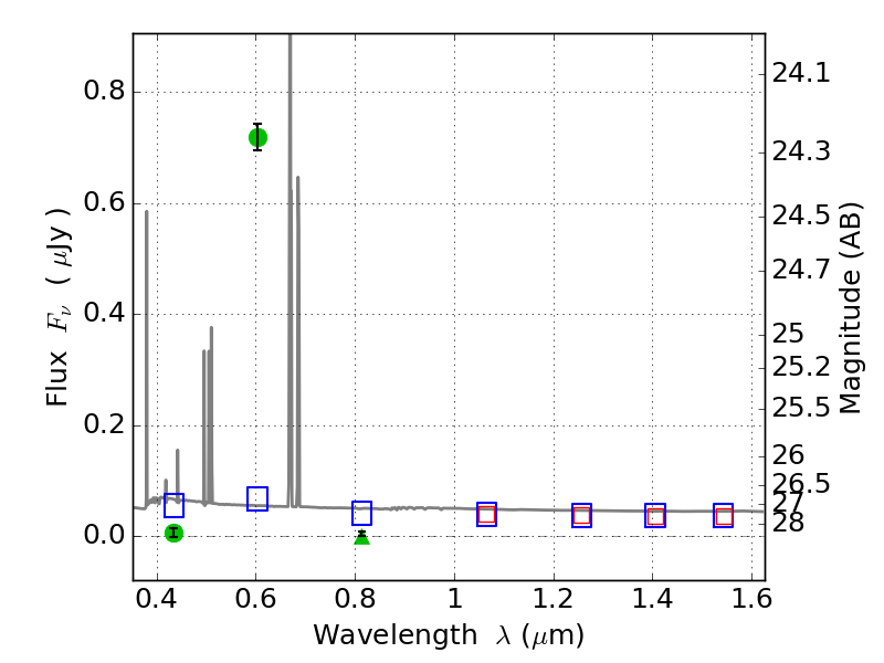
MACS0417-11 IR detection object #2067

Color images and BPZ results
Catalog: 2067.cat
Black segments are analyzed here.   Roll mouse over color images to view segments.
Best viewed in a wide browser window (1200 pixels or more).   Download SED & P(z) plots to view larger versions.
In P(z) plots: Yellow lines mark the cluster redshift z = 0.443,  

Object #2067   x,y = (1001, 2869)   RA, Dec = (04:17:40.344, -11:54:17.28) = (64.41810, -11.90480)   BPZ = 0.019 [0.010--3.589]   type = 11.00 (SB11_A_0_l)   stellarity = 0.82   chisq2 = 748.70   ODDS = 0.79   z_cluster = 0.443