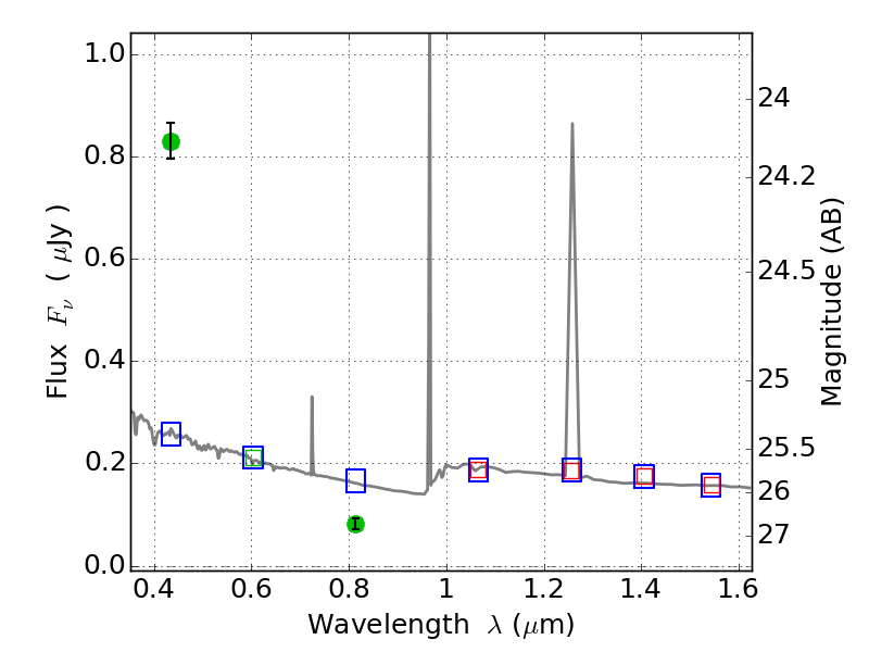
MACS0417-11 ACS+IR detection object #5658

Color images and BPZ results
Catalog: 5658.cat
Black segments are analyzed here.   Roll mouse over color images to view segments.
Best viewed in a wide browser window (1200 pixels or more).   Download SED & P(z) plots to view larger versions.
In P(z) plots: Yellow lines mark the cluster redshift z = 0.443,  

Object #5658   x,y = (1972, 682)   RA, Dec = (04:17:36.384, -11:56:28.68) = (64.40160, -11.94130)   BPZ = 1.593 [1.484--2.012]   type = 11.00 (SB11_A_0_l)   stellarity = 0.95   chisq2 = 235.40   ODDS = 0.75   z_cluster = 0.443