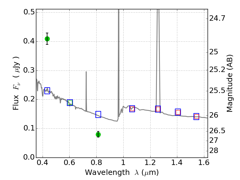
MACS0417-11 ACS+IR detection object #4853

Color images and BPZ results
Catalog: 4853.cat
Black segments are analyzed here.   Roll mouse over color images to view segments.
Best viewed in a wide browser window (1200 pixels or more).   Download SED & P(z) plots to view larger versions.
In P(z) plots: Yellow lines mark the cluster redshift z = 0.443,  

Object #4853   x,y = (4272, 1148)   RA, Dec = (04:17:26.976, -11:56:00.60) = (64.36240, -11.93350)   BPZ = 1.593 [1.477--2.027]   type = 11.00 (SB11_A_0_l)   stellarity = 0.91   chisq2 = 67.52   ODDS = 0.72   z_cluster = 0.443