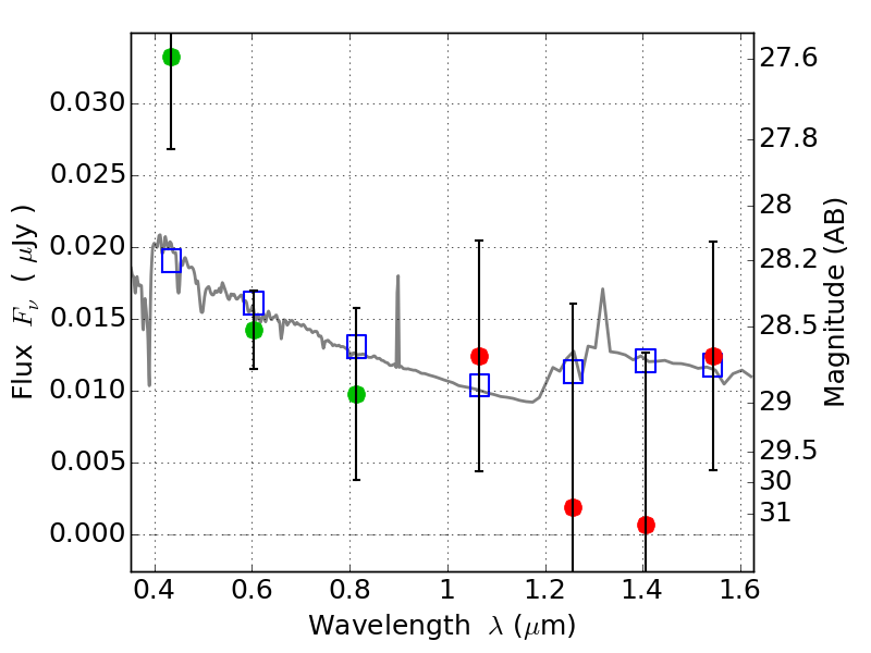
MACS0417-11 ACS+IR detection object #3296

Color images and BPZ results
Catalog: 3296.cat
Black segments are analyzed here.   Roll mouse over color images to view segments.
Best viewed in a wide browser window (1200 pixels or more).   Download SED & P(z) plots to view larger versions.
In P(z) plots: Yellow lines mark the cluster redshift z = 0.443,  

Object #3296   x,y = (3609, 2433)   RA, Dec = (04:17:29.688, -11:54:43.56) = (64.37370, -11.91210)   BPZ = 2.208 [0.523--2.809]   type = 11.00 (SB11_A_0_l)   stellarity = 0.43   chisq2 = 1.67   ODDS = 0.18   z_cluster = 0.443